Nature & SpaceNature & Space

Atualizado 1 de março de 2026

Pesquisa genética no Brasil identifica predisposição a osteoartrite de joelho, ajudando a explicar por que essa doença inflamatória predomina em alguns grupos.

A pesquisa mostram que a genética pode ajudar a explicar porque a osteoartrite de joelho se manifesta de forma mais grave em algumas pessoas- especialmente em mulheres.

A pesquisa foi publicada na Revista Genes MDPI.

Estudos de pesquisadores brasileiros mostram que a genética pode ajudar a explicar porque a osteoartrite de joelho se manifesta de forma mais grave em algumas pessoas- especialmente em mulheres. Foto: Anatoli K. / Envato

A segui vermos o que revelou a pesquisa sobre as indicações genéticas e do bio tipo que podem ajudar na prevenção e tratamento da inflamação das articulações, especialmente em joelhos, e quadril. Em texto, imagens e vídeos.

Como a identificaçã da predisposição pode ajudar a evitar o problema da osteoartrite? Deixe seu comentário no final!

Nature & SpaceNature & Space

Vídeo 1: Artrose no Joelho e Genética

Vídeo 2: 7 coisas que VOCÊ precisa SABER sobre ARTROSE / OSTEOARTRITE

Vídeo 3: ARTROSE NO JOELHO – Sintomas e Diagnóstico

LEIA MAIS

Diagnóstico e Tratamento da Necrose na Cabeça do Osso do Quadril

Cientistas da UFRJ Descobrem Proteína Capaz de Reverte Lesão da Medula

​Sarcobesidade: O Desafio da Perda de Massa e Força Muscular

Compartilhar é Livre. Ajude-nos Citando o Link Deste Artigo!

A osteoartrite é uma doença inflamatória crônica, progressiva e dolorosa, marcada pela degeneração da cartilagem

A osteoartrite é uma doença inflamatória crônica, progressiva e dolorosa, marcada pela degeneração da cartilagem, por alterações estruturais nos tecidos articulares e pela inflamação da sinóvia, que ocorre com mais frequência nos joelhos.

Com evolução não tratada da artrose, todos os tecidos da articulação podem ser afetados, como os meniscos, ligamentos e músculos, gerando uma insuficiência articular global.   Imagem: Leandro Finotti. https://www.drleandrofinotti.com.br/artigo/artrose-osteoartrite-de-joelho-causas-sintomas-e-diagnostico/124

Você já passou há muito da adolescência e começa a sentir o peso da idade, especialmente no joelho?

Ele falha de vez em quando, estala, range ao se movimentar. A dor aparece com frequência, inclusive em repouso, e levantar depois de um tempo sentado ou deitado se torna cada vez mais difícil.

Em alguns momentos, o joelho parece travar, como se simplesmente não quisesse obedecer.

Sinto muito dizer, mas você pode estar entre as milhões de pessoas que convivem com a osteoartrite.

A osteoartrite é uma doença inflamatória crônica, progressiva e dolorosa, marcada pela degeneração da cartilagem, por alterações estruturais nos tecidos articulares e pela inflamação da sinóvia.

A osteoartrite de joelho é a forma mais comum da doença, justamente porque o joelho sustenta grande parte do peso corporal e está constantemente exposto ao estresse mecânico.

Em 2021, a prevalência global da osteoartrite de joelho foi estimada em cerca de 4,7 mil casos, com uma taxa de incidência de quase 391 novos casos a cada 100 mil pessoas.

Esses números são ainda mais altos entre as mulheres. Especialmente após a menopausa, alterações hormonais e biomecânicas aumentam a vulnerabilidade à doença.

O avanço da idade também contribui para a degeneração das articulações e para a redução da capacidade de reparo dos tecidos. Além disso, estudos indicam que pessoas mais altas apresentam maior risco de desenvolver osteoartrite de joelho.

Vídeo 1: Artrose no Joelho e Genética

LEIA MAIS

Cientistas Russos e Coreanos Criam Gel Que Regenera Ossos

​Proteína Vegetal e Animal Têm Efeito Idêntico nos Músculos

Compartilhar é Livre. Ajude-nos Citando o Link Deste Artigo!

Embora osteoartrite de joelho não tem uma única causa, cerca de 39% do risco para a doença está relacionado à genética

Apesar de todos esses fatores conhecidos, a osteoartrite de joelho não tem uma única causa. Sua origem é multifatorial e ainda não totalmente compreendida.

O que se sabe é que a genética tem um peso importante nessa história: estima-se que cerca de 39% do risco de desenvolver a doença esteja relacionado à herança genética. Em casos mais graves, esse percentual pode ultrapassar 50% e chegar a até 80% entre mulheres com mais de 50 anos.

A artrose (osteoartrite) é a forma mais comum de doença articular, afetando milhões de pessoas em todo o mundo. Trata-se de uma enfermidade osteodegradativa de articulações mais móveis, sendo os joelhos as mais afetadas. Imagem: Leandro Finotti. https://www.drleandrofinotti.com.br/artigo/artrose-osteoartrite-de-joelho-causas-sintomas-e-diagnostico/124

Quando falamos em doenças, é comum imaginar causas únicas e bem definidas. Mas a maioria das doenças crônicas não funciona assim. Poucas são determinadas por um único gene “defeituoso”.

O que a ciência tem mostrado é que pequenas variações no DNA — chamadas polimorfismos genéticos — ajudam a explicar por que algumas pessoas adoecem mais cedo, apresentam quadros mais graves ou respondem de forma diferente aos tratamentos.

Ao relacionar essas variações genéticas com dados clínicos e populacionais, os pesquisadores conseguem identificar padrões invisíveis a olho nu, revelando como genética, ambiente e estilo de vida se entrelaçam na origem de muitas doenças.

Esse tipo de investigação amplia nossa compreensão dos mecanismos biológicos do adoecimento e abre caminho para uma medicina personalizada.

Vídeo 2: 7 coisas que VOCÊ precisa SABER sobre ARTROSE / OSTEOARTRITE

LEIA MAIS

Proteína Vegetal Aumenta Expectativa de Vida em Adultos

Teste Reduziu Idade Biológica 15 Anos ao Retirar 3 Alimentos

Compartilhar é Livre. Ajude-nos Citando o Link Deste Artigo!

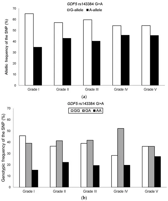
Uma variação específica do gene GDF5 rs143384 está associada à osteoartrite de joelho, e outras doenças musculoesqueléticas

Estudos de associação genômica ampla, conhecidos como GWAS, já identificaram mais de 80 loci associados à osteoartrite de joelho. Locus (plural loci) é, de forma simples, um “endereço” no DNA — uma posição específica no genoma que pode variar entre os indivíduos e influenciar o risco de desenvolvimento de doenças.

Frequências alélicas ( a ) e genotípicas ( b ) do SNP GDF5 rs143384 G > A entre grupos de pacientes com osteoartrite do joelho estratificados pelos graus de classificação de Ahlbäck. Gráfico: Artigo: https://www.mdpi.com/2073-4425/16/12/1520

Entre esses loci, um dos mais estudados é o gene GDF5 (growth differentiation factor 5), que desempenha um papel fundamental no desenvolvimento, na manutenção e no reparo das articulações sinoviais.

Diversos estudos já demonstraram que uma variação específica desse gene, chamada GDF5 rs143384, está associada não apenas à osteoartrite de joelho, mas também a outras doenças musculoesqueléticas.

Mais da metade apresentava estatura inferior a 1,60 metro, e cerca de dois terços eram obesos ou tinham obesidade mórbida

Diante disso, cientistas e médicos de instituições como a Universidade do Estado do Rio de Janeiro (Uerj), a Universidade Federal Fluminense e o Instituto Nacional de Traumatologia e Ortopedia (INTO) — decidiram investigar mais a fundo o papel desse gene em pacientes brasileiros.

O resultado foi um estudo recentemente publicado na revista científica Genes.

Realizamos um estudo observacional transversal ao longo de três anos, com a participação de 224 pacientes com osteoartrite de joelho atendidos no INTO, no Rio de Janeiro.

Em casos avançados, a reconstrução do quadril é a opção mais utilizada e resolutiva para a osteonecrose – Ilustração: kjpargeter/Freepik

Os voluntários foram avaliados clinicamente e classificados de acordo com a gravidade da doença.

Para a análise genética, coletamos células da mucosa oral por meio de um swab, o que permitiu extrair o DNA e identificar o polimorfismo do gene GDF5 utilizando a técnica de PCR.

A idade mediana dos participantes foi de 64 anos, com variação entre 44 e 84 anos. A maioria era do sexo feminino.

Mais da metade apresentava estatura inferior a 1,60 metro, e cerca de dois terços eram obesos ou tinham obesidade mórbida.

Obesidade: afeta os joelhos por sobrecarga mecânica e também pela função glandular inflamatória que o tecido gorduroso exerce. Imagem: Leandro Finotti. https://www.drleandrofinotti.com.br/artigo/artrose-osteoartrite-de-joelho-causas-sintomas-e-diagnostico/124

Observamos que pacientes com mais de 70 anos apresentavam formas mais avançadas da osteoartrite. Também identificamos que a frequência da variante genética A do polimorfismo GDF5 rs143384 aumentava conforme a gravidade da doença.

Entre as mulheres, esse achado foi ainda mais marcante. A presença dos genótipos GA ou AA esteve associada a maior gravidade da osteoartrite de joelho.

Além disso, mulheres portadoras dessas variantes genéticas apresentaram, em média, menor estatura do que aquelas com o genótipo GG.

Vídeo 3: ARTROSE NO JOELHO – Sintomas e Diagnóstico

LEIA MAIS

Pedalar Melhora Músculos, Coração, Pulmão, Sono e a Mente

Pesquisa Revela Que Vitamina D3 Retarda o Envelhecimento

Compartilhar é Livre. Ajude-nos Citando o Link Deste Artigo!

A genética pode ajudar a explicar porque a osteoartrite de joelho se manifesta de forma mais grave em algumas pessoas, especialmente em mulheres

Os resultados mostram que a genética pode ajudar a explicar porque a osteoartrite de joelho se manifesta de forma mais grave em algumas pessoas — especialmente em mulheres.

Genética: muitas pessoas possuem uma tendência genética, embora não sejam bem conhecidos tais genes.   Imagem: Leandro Finotti. https://www.drleandrofinotti.com.br/artigo/artrose-osteoartrite-de-joelho-causas-sintomas-e-diagnostico/124

A associação entre o polimorfismo GDF5 rs143384, maior gravidade da doença e menor estatura sugere que essa variante contribui para a variabilidade clínica da osteoartrite.

Compreender essas diferenças é essencial para avançar rumo a uma abordagem mais personalizada da doença.

No futuro, informações genéticas poderão ajudar a refinar diagnósticos, orientar estratégias de prevenção e até influenciar decisões terapêuticas.

Mais do que entender por que o joelho dói, a genética nos ajuda a compreender por que ele dói mais em algumas pessoas do que em outras.

Bibliografia

Revista Genes – MDPI

The GDF5 rs143384 polymorphism is associated with the severity of knee osteoarthritis and shorter stature in Brazilian patients: a cross-sectional study.

doi.org/10.3390/genes16121520

The Conversation

Quando o joelho começa a dar sinais de alerta: o que os genes revelam sobre a osteoartrite

Análise Audiovisual

Vídeo 1- Dr. Adriano Karpstein: Artrose no Joelho e Genética

Vídeo 2- Médico Para toda Vida: 7 coisas que VOCÊ precisa SABER sobre ARTROSE / OSTEOARTRITE

Vídeo 3- Dr. Adriano Leonardi: ARTROSE NO JOELHO – Sintomas e Diagnóstico

Política de Uso

Compartilhar é Livre. Ajude-nos Citando o Link Deste Artigo!

Pesquisa Genética Identifica Predisposição a Osteoartrite de Joelho | Nature & Space

LEAVE A REPLY

Please enter your comment!
Please enter your name here